크롤링을 진행할 때, 동적 페이지의 경우에는 앞선 방식의 크롤링으로 접근할 수가 없다. 세번째 프로젝트에서는 이 동적 페이지를 크롤링해오는 방법에 대해 다룬다.
목차
프로젝트의 주제는 다음과 같다.
셀프 주유소가 싸다고 알려져있는데, 정말로 그럴까?
동적 페이지
셀레니움 설치
•
콘다 환경에서 다운로드 할거면 콘다 활성화
•
맥북 m1 유저라면,
!pip3 install selenium
Python
복사
chrome driver 다운로드
크롬 도움말 → 크롬 정보 → 크롬 버전 확인 후
사이트 들어가서, 앞번호 버전과 일치하는 드라이버 다운로드
→ 파일을 ds_study의 driver 파일로 옮기기 (cmd + c 후 cmd + opt + v)
또는 터미널에서 파일을 옮기는 방법은
mv ~Downloads/chromedriver/ ~/Documents/ds_study/driver\
Shell
복사
chrome driver 불러오기
from selenium import webdriver
# 크롬 브라우저로 webdriver 읽기
driver = webdriver.Chrome()
driver.get('https://www.naver.com')
# driver 꺼주기
driver.quit()
Python
복사
데이터를 확보하기 위한 작업 - selenium 으로 동적페이지의 엑셀 데이터 다운로드 받기
위의 국내 존재하는 모든 주유소의 정보를 얻어올 수 있다.
•
목표 데이터
◦
주유소 브랜드
◦
휘발유 가격
◦
셀프 주유 여부
◦
위치
# 페이지 접근하는 함수 만들어주기
def main_get():
url = 'https://www.opinet.co.kr/searRgSelect.do'
driver = webdriver.Chrome()
driver.get(url)
main_get()
Python
복사
selenium 으로 시/도 데이터 추출하기
from selenium.webdriver.common.by import By
# 시/도 부분 데이터 가져오기
# 태그가 ID 일 경우
sido_list_raw = driver.find_element(By.ID, 'SIDO_NMO')
# 다시 위의 태그에서 세부적으로 들어가기
# 태그 이름이 "option" 인 부분 가져오기 - 여러개라서 find_elements 로 가져오기
sido_list = sido_list_raw.find_elements(By.TAG_NAME, 'option')
# 속성 value 안에 있는 지역의 풀네임에 접근하기 - '서울특별시'
sido_list[1].get_attribute('value')
# 모든 시/도의 풀네임 데이터를 리스트에 받기
sido_names = [option.get_attribute('value') for option in sido_list]
# 시/도 데이터 중 서울특별시의 지역 데이터를 원하기 때문에
# selenium 의 send_keys() 함수를 사용해서 '서울특별시'로 웹드라이버에서 선택하게 해주기
sido_list_raw.send_keys(sido_names[0])
Python
복사
selenium으로 ‘구’ 데이터 추출하기
gu_list_raw = driver.find_element(By.ID, 'SIGUNGU_NM0')
# 태그 이름이 'option'인 부분 가져오기
gu_list = gu_list_raw.find_elements(By.TAG_NAME, 'option')
gu_names = [option.get_attribute('value') for option in gu_list]
Python
복사
위의 과정을 한꺼번에 수행해서, ‘엑셀로 다운로드’ 까지 수행해보기
import time
from tqdm import tqdm_notebook
def data_download():
# '서울특별시' 데이터를 선택해주기
sido_list_raw = driver.find_element(By.ID, 'SIDO_NMO')
sido_list = sido_list_raw.find_elements(By.TAG_NAME, 'option')
sido_list[1].get_attribute('value')
sido_names = [option.get_attribute('value') for option in sido_list]
sido_names = sido_names[1:]
sido_list_raw.send_keys(sido_names[0])
# 구 데이터 다운로드 받기
gu_list_raw = driver.find_element(By.ID, 'SIGUNGU_NM0')
gu_list = gu_list_raw.find_elements(By.TAG_NAME, 'option')
gu_names = [option.get_attribute('value') for option in gu_list]
gu_names = gu_names[1:]
for gu in tqdm_notebook(gu_names):
gu_list_raw.send_keys(gu)
time.sleep(3)
# 엑셀 저장 클릭 - xpath 로 읽어오기
driver.find_element(By.XPATH,'//*[@id="glopopd_excel"]').click()
time.sleep(3)
data_download()
Python
복사
# 꼭 마지막에는 driver 꺼주기
driver.close() # 또는 driver.quit()
Python
복사
다운로드 받은 데이터 전처리 작업 하기
•
glob
•
concat
•
결측치 데이터 제거
•
데이터 타입 변환
•
인덱스 재설정
glob
파일들의 리스트를 뽑을 때 사용하는데, 파일의 경로명을 이용해서 입맛대로 사용할 수 있다.
인자로 받은 패턴과 이름이 일치하는 모든 파일과 디렉터리의 리스트를 반환한다.
사용 예제
import pandas as pd
import numpy as np
from glob import glob
# 다운로드 받은 서울특별시의 '구'별 파일 목록을 리스트로 가져오기
station_files = glob('../data/지역_*.xls')
# 맨 첫번째 파일을 읽어보기
tmp = pd.read_excel(station_files[0], header=2)
tmp.tail()
# 각각의 파일에 대해 읽어들인 데이터를 리스트 원소에 저장
tmp_raw = []
for file_name in station_files:
tmp = pd.read_excel(file_name, header=2)
tmp_raw.append(tmp)
Python
복사
concat
파일들의 구조가 동일하기 때문에 concat을 이용해서 합쳐주기
station_raw = pd.concat(tmp_raw)
Python
복사
필드명 변경해주기
stations = pd.DataFrame({
"상호": staton_raw['상호'],
"주소": staton_raw['주소'],
"셀프": staton_raw['셀프여부'],
"상표": staton_raw['상표'],
"휘발유": staton_raw['휘발유'],
})
stations.tail()
Python
복사
주소 데이터에서 ‘구’ 필드 만들어주기
stations['구'] = [eachAddress.split()[1] for eachAddress in stations['주소']]
Python
복사
가격 데이터 타입 변환 : object → float
stations['가격'] = stations['가격'].astype('float')
#### 오류 발생 ####
#### 이유 : could not convert string to float: '-'
# 가격 데이터에 있는 '-' 데이터는 모두 삭제해주자
stations = stations[stations['가격'] != '-']
# 다시 변환!
stations['가격'] = stations['가격'].astype('float')
Python
복사
인덱스 재정렬
stations.reset_index(inplace=True, drop=True)
Python
복사
주유 가격 정보 기본 시각화
import matplotlib.pyplot as plt
import seaborn as sns
import platform
from matplotlib import font_manager, rc
%matplotlib inline
if platform.system() == 'Darwin':
rc('font', family='Arial Unicode MS')
else:
print('Unknown System.')
Python
복사
1. boxplot
•
pyplot
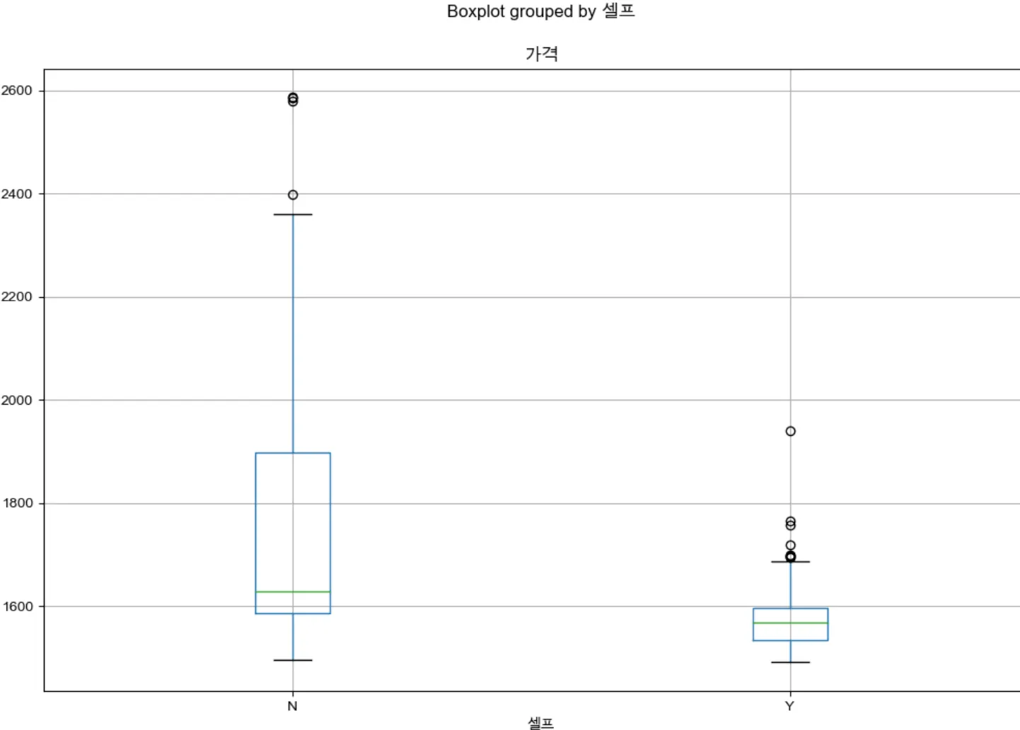
stations.boxplot(column='가격', by='셀프', figsize=(12,8))
Python
복사
중앙값의 경우, 확실히 셀프주유소가 가격이 더 저렴한 것을 확인할 수 있다. 또한, 가격의 편차도 셀프 주유소의 경우가 더 작은 것을 확인할 수 있다.
•
seaborn
plt.figure(figsize=(12,8))
sns.boxplot(x='셀프', y='가격', data=stations, palette='Set3')
plt.grid(True)
plt.show()
Python
복사
plt.figure(figsize=(12,8))
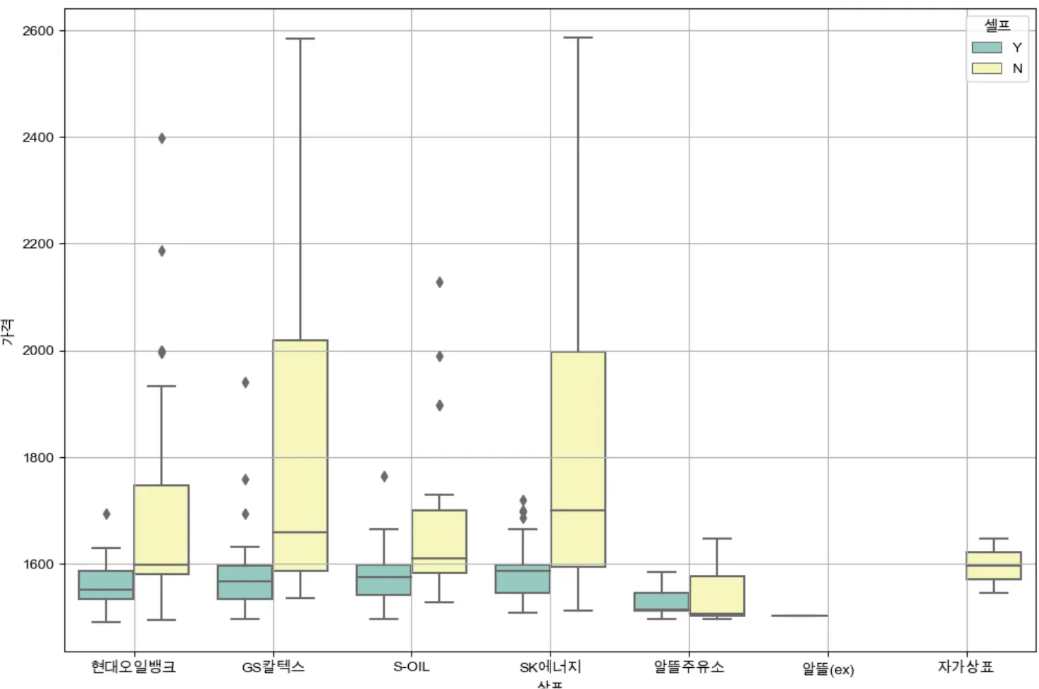
sns.boxplot(x='상표', y='가격', hue='셀프', data=stations, palette='Set3')
plt.grid(True)
plt.show()
Python
복사
2. folium - 지도 시각화
import json # 지도 경계선 데이터가 json 데이터이기 때문에
import folium
import warnings
warnings.filterwarnings('ignore')
gu_data = pd.pivot_table(data=stations, index='구', values='가격', aggfunc=np.mean)
geo_path = '../data/02. skorea_municipalities_geo_simple.json"
geo_str = json.load(open(geo_path, encoding='utf-8'))
my_map = folium.Map(location=[37.5502, 126.982], zoom_start=10.5, tiles='Stamen Toner')
my_map.choropleth(
geo_data=geo_str,
data=gu_data,
columns=[gu_data.index, '가격'],
key_on='feature.id',
fill_color='PuRd'
)
my_map
Python
복사



